科技日報記者 劉霞

包括澳大利亞阿德萊德大學科學家在內的國際團隊,成功繪制出了質子內部作用力詳細圖譜。最新研究不僅有助科學家加深對物質基本性質的了解,也有助質子在更多尖端技術領域大放異彩。相關論文發表于最新一期《物理評論快報》雜志。
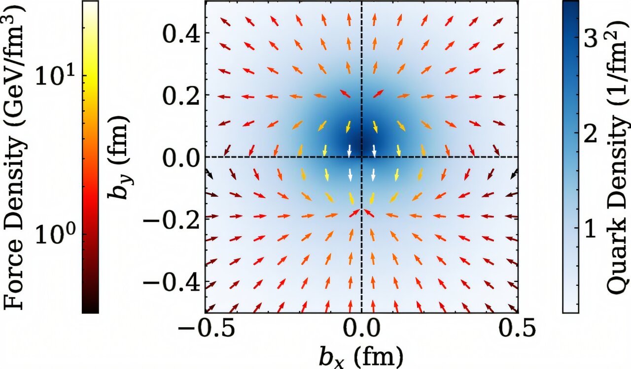
研究團隊采用一種強大的計算技術——晶格量子色動力學,來繪制質子內部作用力圖譜。這一技術將空間和時間分解成一個個精細的網格,從而能夠模擬將夸克結合成質子和中子的強力在質子內部不同區域的變化情況。
這一圖譜可能是迄今為止最精細的自然力場圖。圖譜顯示,即使在質子內部這么微小的空間,強力的強度也高達50萬牛頓。這相當于將10頭大象壓縮在一個遠小于原子核的空間內。
研究團隊表示,這些作用力圖譜有助科學家更深入理解質子內部復雜的動力學,并加深對自然界最基本力和粒子的認知。最新進展還能幫助科學家揭示質子在各種高能碰撞中的“表現”。這些高能碰撞包括在大型強子對撞機上以及在探索物質基本結構的實驗中進行的碰撞。
隨著科學家不斷深挖并陸續揭示質子的內部結構,所獲得的信息有望推動質子在尖端技術領域,尤其是下一代科學和醫學領域的應用,其中一個備受關注的領域是質子療法。在這一療法中,高能質子可精確靶向腫瘤,同時盡量減少對周圍組織的損傷。此外,通過首次使質子內部的不可見力變得可見,最新研究彌合了理論和實驗之間的差距,有助加快基礎研究步伐。
總編輯圈點
科研團隊用"時空網格化"的計算技術,首次繪制出質子內部作用力圖譜。微小方寸內,將質子內部夸克束縛在一起的力異常巨大——相當于把10頭大象的重量壓縮在一個比原子核還小的空間里。該研究讓質子內部的強力“顯形”,幫助人類更深入理解物質基本構成。對質子的理解升級,也能幫我們提升質子治療技術的精準度,助力大型強子對撞機等裝置的實驗設計。一系列新的技術和思路,幫助人類在無窮大和無窮小中找尋基礎問題的答案。
 
 
             
						 
						 
						 
						 
								 
								 
								 
								 
								 
								 
								 
		 
			 
			 
				